当前位置:
半岛平台
> 教务处 > 校院(企)共建实习实训基地 > 1.实训室建设
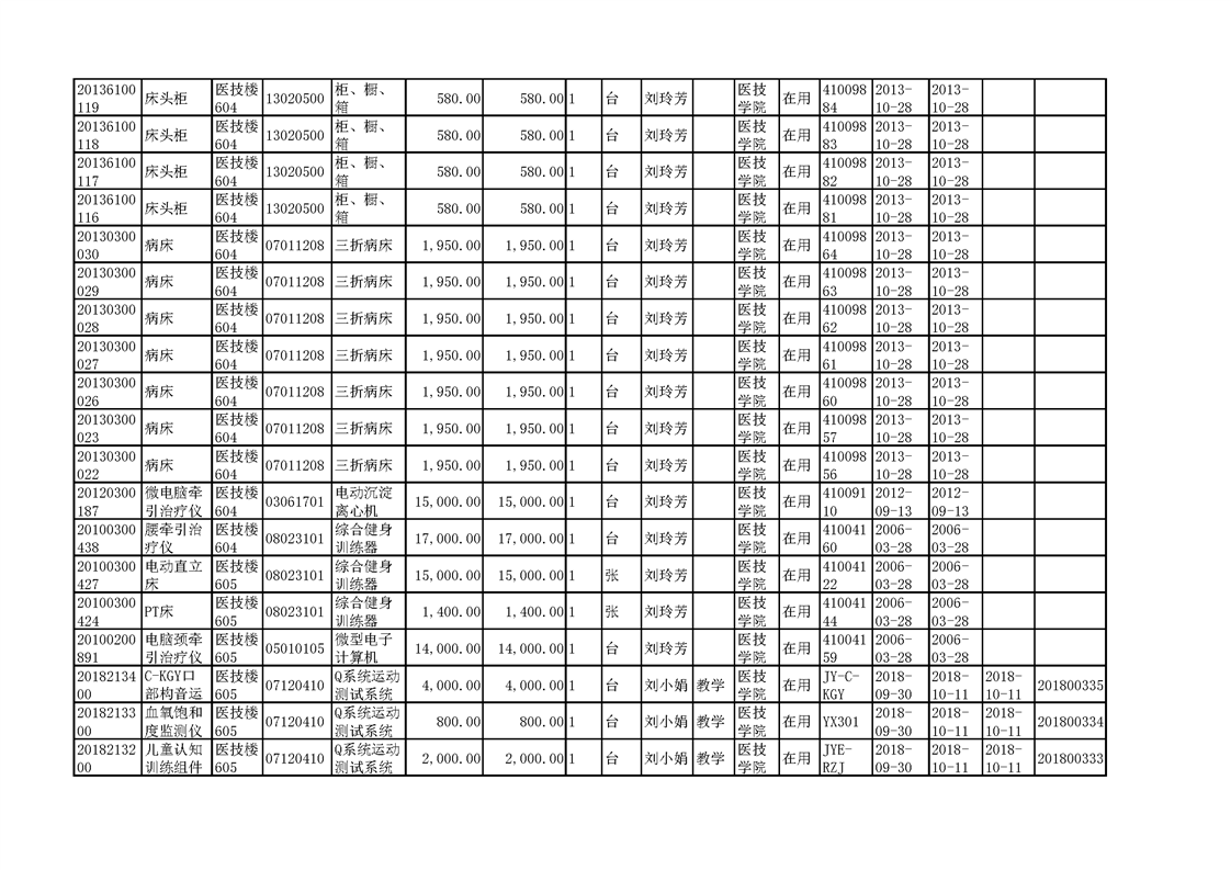
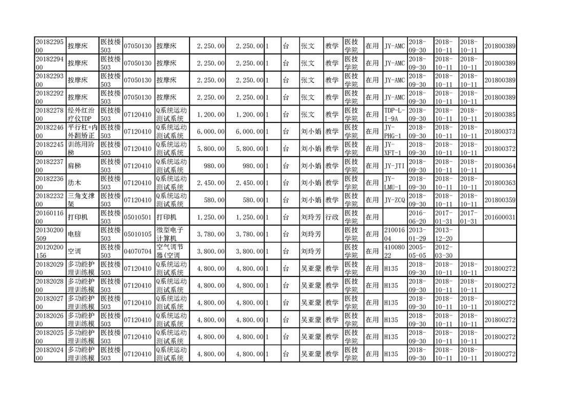
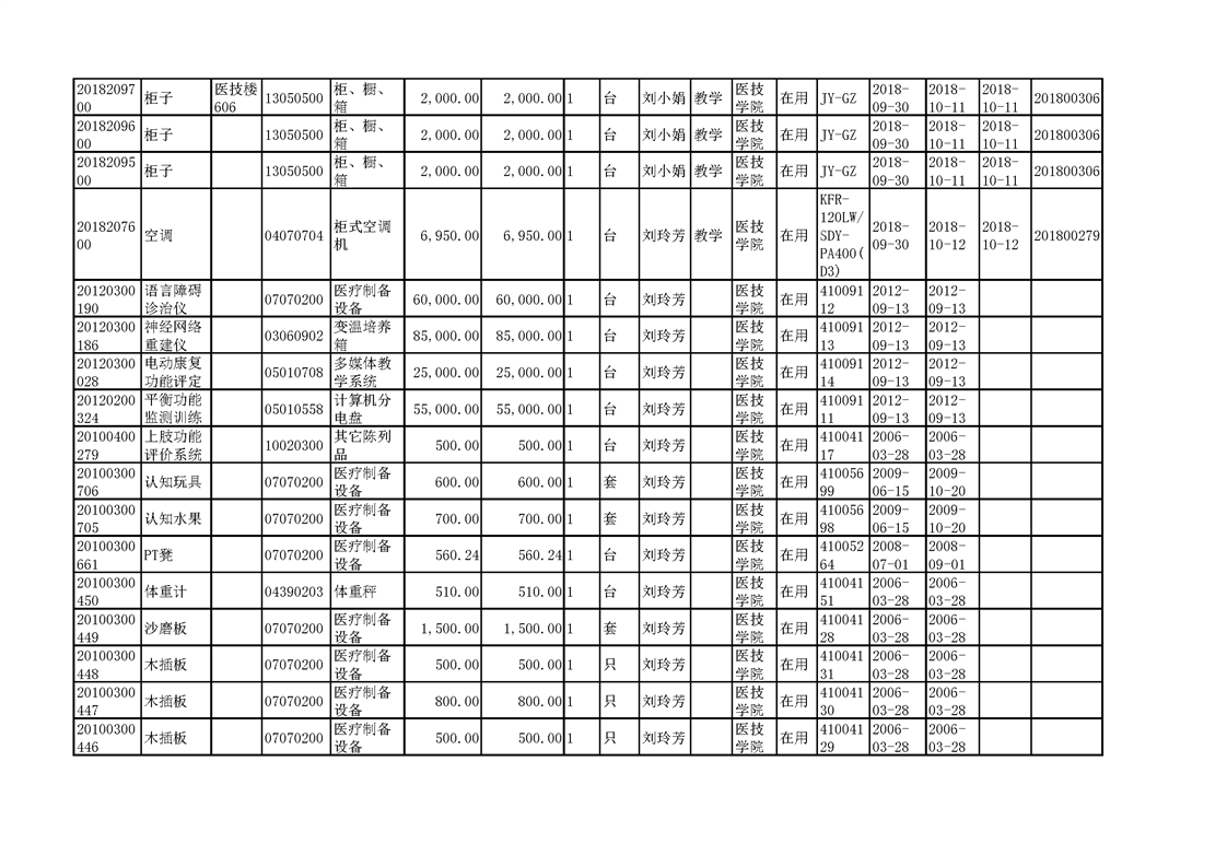
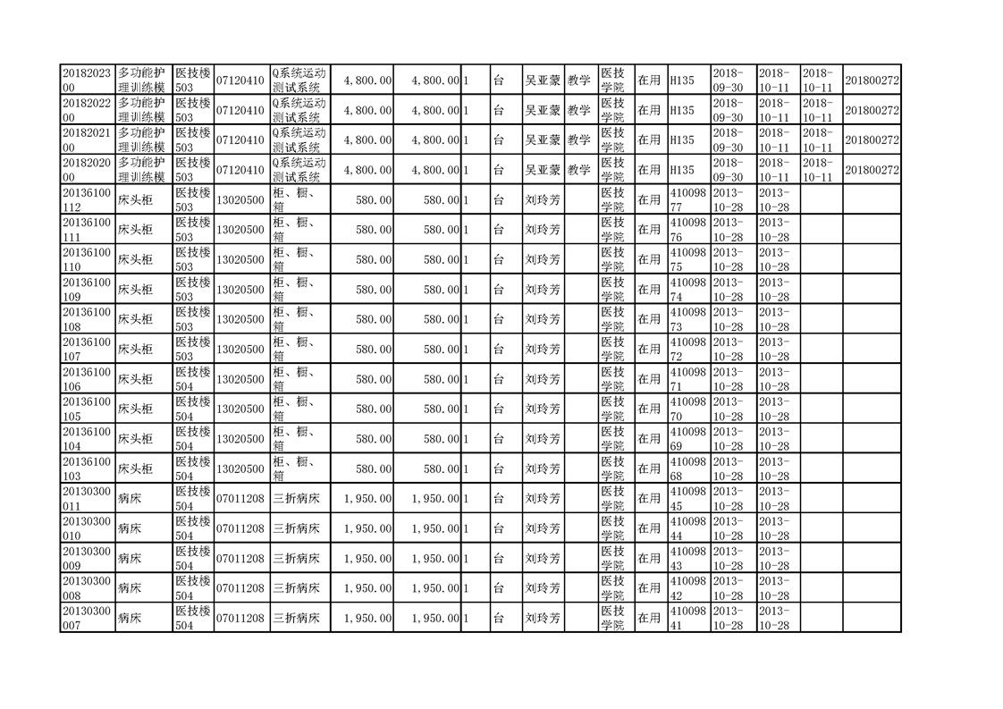
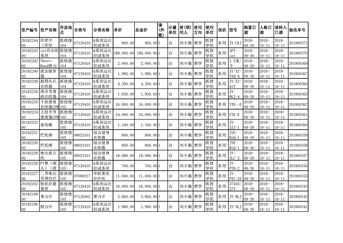
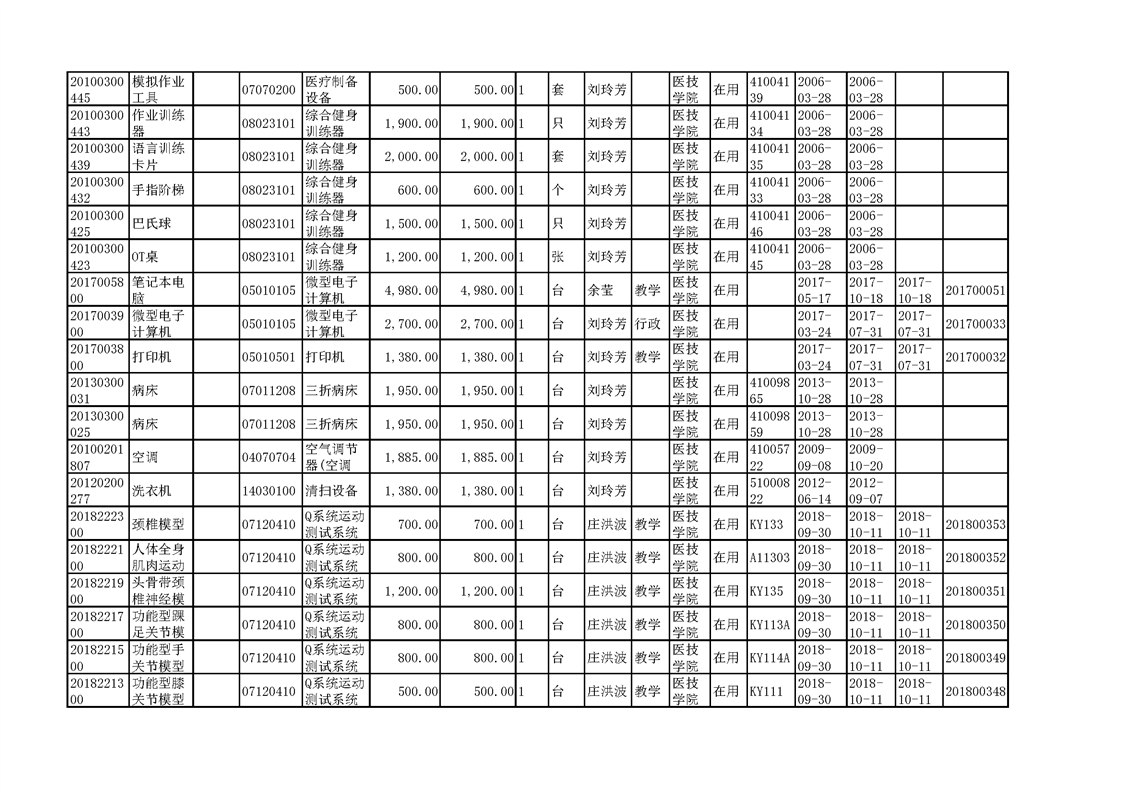
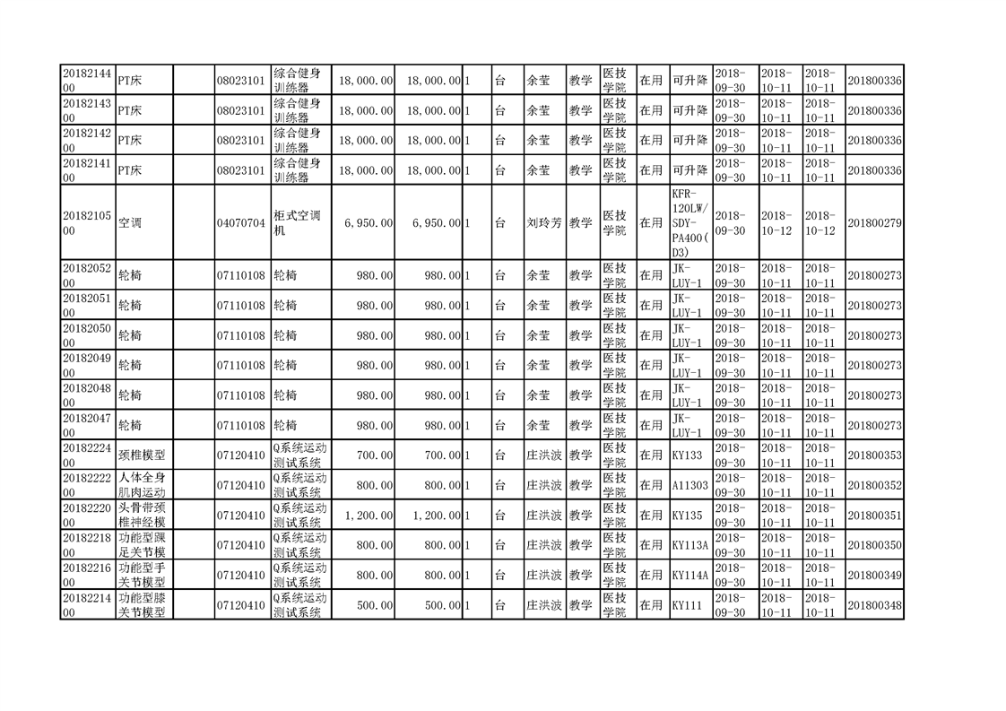
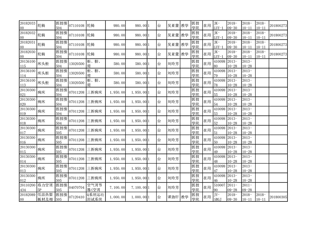
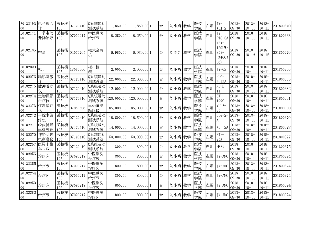
3.1.2.2 康复实训设备一览表
2021-05-13 19:10 | 编稿:齐波
相关内容
3.1.4.1 2016-2019年康复服务专业群社会培训情况统计表
[2021-05-15]
3.1.5.1 仿真实训项目表
[2021-05-14]
3.1.5.1 校内仿真实训中心资料
[2021-05-14]
3.1.3.1 医学检验技术增开实验实训项目一览表
[2021-05-13]
3.1.3.1 药学专业增开实验实训项目一览表
[2021-05-13]
3.1.3.1 康复治疗技术专业增开实验实训项目一览表
[2021-05-13]
九州手机网页版登录入口
|
半岛在线
|
中欧网页版
|
开云手机注册
|
米兰在线
|
雷速官网
|
九州网页版
|
华亿在线
|
乐竞平台
|