半岛平台-半岛(中国)
当前位置:半岛平台 > 教务处 > 教研教改
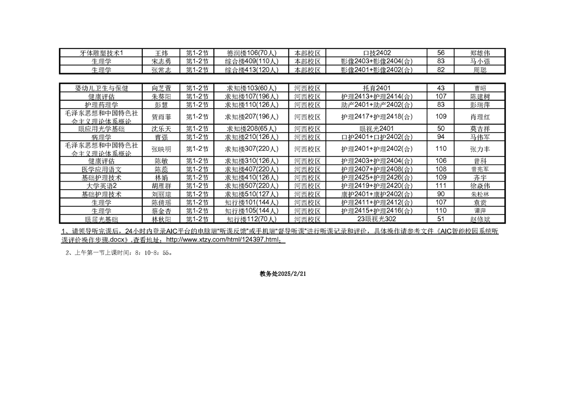
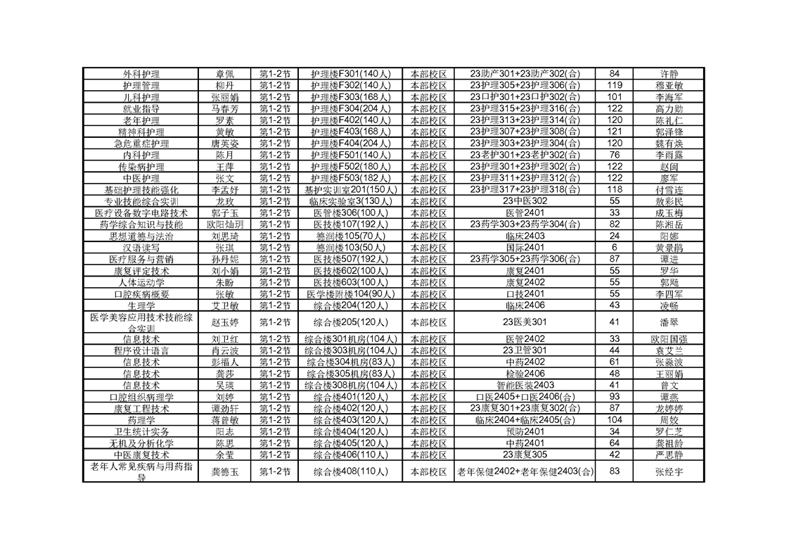
2024-2025学年第二学期全校第一课(2月24日)干部听课安排表
编辑:刘旭波     发布时间:2025-02-22    浏览:282



打印本页      关闭窗口